If you look back a decade or more, front-end development evolved from static HTML/CSS pages to small sprinkles of jQuery, then to heavier client-side apps with AngularJS, Ember, Knockout, Backbone, etc. Over time, concerns like performance, SEO, bundle size, developer experience, and maintainability pushed the landscape through several phases:
- Client-side dominance era (SPA boom): Frameworks that ran nearly everything in the browser became commonplace.
- Hybrid / isomorphic / SSR era: The pendulum swung back—server-side rendering, static generation, hydration, partial rehydration became essential to deliver fast first loads and SEO.
- Edge / “server-first” / island architectures: The current phase. More frameworks are optimizing for sending less JavaScript to the client, deferring or lazily hydrating parts of the UI, and blending server + client responsibilities in smarter ways.
In 2025, you’re not just choosing between “React vs Vue.” Instead you’re choosing styles of architecture (server-driven, island/partial hydration, resumability) and weighing tradeoffs in performance, ecosystem, developer ergonomics, and long-term sustainability.
According to recent surveys, React still leads usage and mindshare, Vue holds steady, and newer frameworks like Svelte, Solid, Qwik, and meta-frameworks such as Next.js, Astro, Remix (React Router v7) are grabbing attention.
Below is my curated list (not strictly in ranking order) of ten frameworks or meta-frameworks you should pay attention to. For each one, I explain what it is, its unique selling points, drawbacks, and how it’s being used now.
React / Next.js

React remains the bedrock for many modern front ends. Though technically a UI library, the ecosystem around it makes it a full framework in practice.
Created by Facebook (Meta), React introduced the virtual DOM, declarative component model, and a strong ecosystem of state management, routing, etc. Today, React continues evolving with concurrent rendering, server components, and tight integration with frameworks like Next.js. Next.js is by far the most mature “meta-framework” in the React world. It handles routing, SSR, static generation, image optimization, incremental static regeneration, edge functions, and more. In 2025 it’s the de facto standard for React-based full stack or hybrid apps.
Why Use It
- Huge ecosystem and community support
- Mature engineering (plugins, integrations, third-party packages)
- Flexibility: you can build SPAs, serve pages from server, or a mix
- Performance optimizations built in
- Easy talent acquisition (many devs know React/Next)
Drawbacks / Things to Watch
- Bundle sizes can bloat if you’re not careful
- Some features (server components, streaming) can add complexity
- You often need to stitch together libraries (state, data fetching etc.), which can lead to cognitive overhead
Code example
Here’s a very simple Next.js server component (using the new style):
// app/page.jsx
export default async function Page() {
const res = await fetch('/api/data');
const data = await res.json();
return (
<div> <h1>Hello, world</h1> <pre>{JSON.stringify(data, null, 2)}</pre> </div>
);
}That fetch runs on the server by default. Then the client hydrates as needed.
Vue.js / Nuxt

Vue is a progressive framework that falls between minimal constraints and full conventions. It’s often praised for its gentle learning curve.
Vue 3 (the current major version) has been stable for years. Reactive APIs (composition API), TypeScript support, and improved performance are key. The Vue ecosystem includes Nuxt (the meta-framework) for SSR, static generation, routing, etc.
Why Use It
- Developer friendly: intuitive syntax, clearer defaults
- Balanced flexibility vs structure
- Vibrant ecosystem (Vue Router, Pinia, etc.)
- Excellent for medium to large projects that benefit from convention but don’t need full rigidity
Drawbacks / Things to Watch
- Ecosystem less massive compared to React/Next
- Sometimes need to manage bridging modules (SSR, hydration, etc.)
- Some breaking changes when upgrading between major versions
Code snippet
Example of a Vue component using composition API:
<template>
<div>
<h2>{{ message }}</h2>
<button @click="increment">Click me</button>
</div>
</template>
<script setup>
import { ref } from 'vue';
const count = ref(0);
const message = ref('Hello Vue');
function increment() { count.value += 1; message.value = `Clicked ${count.value} times`; }
</script>Svelte / SvelteKit

Svelte is one of the frameworks that compiles away most of its overhead at build time, producing efficient, minimal runtime code.
Svelte is a “compile-time” framework: your components are transformed into optimized JavaScript that manipulates the DOM directly—no virtual DOM. (Wikipedia) SvelteKit is its full-stack companion: routing, SSR, static generation, etc. In 2025, Svelte has added features like “Asynchronous Svelte” (experimental reactivity) and remote functions in SvelteKit.
Why Use It
- Very small bundles and excellent runtime performance
- Clean, intuitive syntax
- Good developer experience; often fewer lines of code
- Strong adoption curve in projects valuing efficiency
Drawbacks / Things to Watch
- Smaller ecosystem than React, though growing
- Some advanced patterns or integrations may require more effort
- Because it compiles, debugging sometimes feels different (you must map compiled code’s behavior)
Code snippet
Simple Svelte component:
<script>
let count = 0; function inc() { count += 1; }
</script>
<button on:click={inc}> Clicked {count} times </button>Solid / SolidStart

Solid is a high-performance reactive UI library focused on fine-grained reactivity (signals) rather than virtual DOM.
Solid tracks dependencies at the level of signals and computations, making reactivity very efficient. It’s one of the frameworks pushing forward new paradigms in reactivity. The “meta-framework” side is SolidStart, enabling routing, SSR, hydration, etc.
Why Use It
- Outstanding performance — minimal over-rendering
- More predictable reactivity model
- In scenarios where every millisecond counts, it’s compelling
Drawbacks / Things to Watch
- Smaller ecosystem and less “batteries included” tooling
- Less familiar to many developers (steeper ramp for some)
- Integrations with third-party libraries may require adaptation
Qwik

Qwik is a newer entrant focused on “resumability” — i.e. the ability to resume an app without full hydration.
Its goal: ship almost no JavaScript initially. The UI “resumes” in place as needed. This approach is more aggressive than classic hydration or partial hydration models.
Why Use It
- Extremely performant first-load experience
- Better for low-end devices or constrained networks
- Innovative architecture that may shape future web frameworks
Drawbacks / Things to Watch
- Newer and less battle-tested
- Smaller ecosystem
- Learning curve for its novel patterns
Astro

Astro is not a pure “framework” in the traditional sense; it’s a “meta-framework” / site generator that supports multiple UI frameworks and focuses on shipping minimal JS.
Astro pioneered the “islands architecture,” where static HTML is the baseline and interactive parts (“islands”) are hydrated only when needed. You can plug in React, Vue, Svelte, Solid, etc. inside an Astro app, and only hydrate where necessary.
Why Use It
- Highly optimized for content-heavy sites (blogs, marketing, docs)
- Minimal JS by default — lean builds
- Flexibility to mix UI frameworks
Drawbacks / Things to Watch
- Less ideal for highly dynamic apps (though it is improving)
- Additional complexity managing hybrid logic
Remix (React Router v7)

Remix is a full-stack framework built around React. As of late 2024, Remix and React Router merged, and Remix patterns are now part of React Router v7.
Remix embraced a data-driven, nested routing model, strong conventions around loading data, and progressive enhancement. Now those ideas are more integrated into React Router.
Why Use It
- Strong conventions around data fetching, error boundaries, etc.
- Good SSR / progressive enhancement support
- For React developers who prefer more structure
Drawbacks / Things to Watch
- Less flexibility for developers who dislike conventions
- Smaller ecosystem than Next.js (but growing)
Alpine.js / HTMX (Lightweight Alternatives)

These aren’t full heavy-weight frameworks, but they’re significant in the contemporary toolkit.
- HTMX
HTMX uses HTML attributes (e.g.hx-get,hx-post,hx-swap) to bring dynamic behavior to pages with minimal JavaScript. It’s ideal for progressive enhancement. - Alpine.js
Alpine offers a way to sprinkle reactivity in HTML, often described as “Tailwind for JS behavior.” (I didn’t include its full detailed writeup here, but it’s worth knowing in small interactive contexts.)
These are great for projects where you don’t need a full SPA or heavy framework but still want interactivity without huge overhead.
Architecture Trends & Comparative Lens
When choosing between these, thinking of the following dimensions will help:
- Performance / load time / bundle size
Newer frameworks like Qwik, Solid, and Svelte tend to perform better out of the box. Astro’s island architecture reduces shipped JavaScript. - Developer ergonomics & learning curve
React & Vue remain comfortable for many developers. Svelte is praised for simplicity. Novel paradigms (signals, resumability) have steeper learning curves. - Ecosystem & integrations
React/Next has the richest ecosystem. Vue/Nuxt is strong. Newer frameworks are catching up but may lack breadth in third-party libraries. - Use case fit
- Content websites, blogs, marketing pages → Astro, Svelte, HTMX
- Data-heavy dashboards, interactive SPAs → React/Next, Solid, Vue
- Performance-critical, mobile / low-end devices → Qwik, Solid
- Sustainability & community
A big factor is whether a framework has long-term support, active contributions, and community energy.
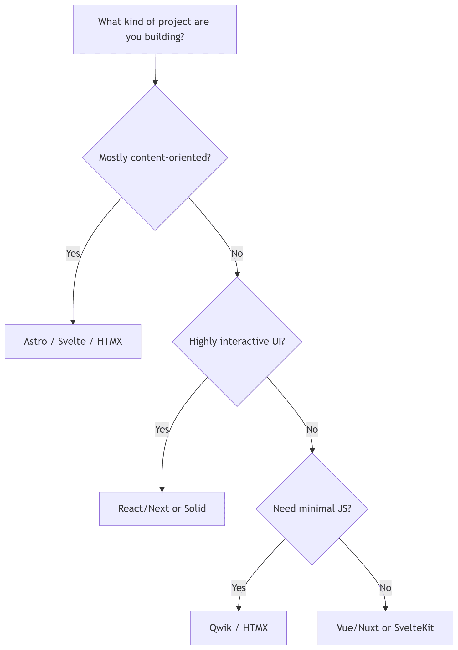
Here is a decision tree to help you narrow:
graph TD
A[What kind of project are you building?] --> B{Mostly content-oriented?}
B -- Yes --> C[Astro / Svelte / HTMX]
B -- No --> D{Highly interactive UI?}
D -- Yes --> E[React/Next or Solid]
D -- No --> F{Need minimal JS?}
F -- Yes --> G[Qwik / HTMX]
F -- No --> H[Vue/Nuxt or SvelteKit]

As you explore frameworks, note that many are “meta-frameworks” (Next, Nuxt, Remix, SolidStart, SvelteKit) built on top of core UI libraries, providing routing, data fetching, and SSR/SSG.
What’s New / What’s Evolving in 2025
A few key shifts stand out in 2025’s landscape:
- Server-first architectures are no longer niche. Many frameworks now default toward running logic on server, hydrating only parts of the UI.
- Edge computing & distributed rendering: frameworks are optimizing for running logic near users, producing partial rendering at edge locations.
- TypeScript by default: Most major frameworks now have first-class TypeScript support, and some push it as the default.
- Signal / fine-grained reactivity models: Instead of the classic virtual DOM diff model, frameworks like Solid or models of “signal-first architectures” are gaining theoretical interest.
- Integration with AI and code augmentation: As researchers push the envelope in ML-assisted front-end generation (e.g. DesignBench), frameworks are increasingly being tested for how “well they can be generated” by AI tools.
These changes mean that when you pick a framework in 2025, you’re effectively choosing a philosophical stance on performance, hydration, reactivity, and developer tooling.
Recommended Starting Picks (for Different Scenarios)
Here are a few practical recommendations based on what you’re trying to build:
| Scenario | Recommended Framework(s) |
|---|---|
| Maximum ecosystem & hiring ease | React + Next.js |
| Gentler learning curve with balanced structure/flexibility | Vue + Nuxt |
| Performance with minimal runtime overhead | Svelte + SvelteKit |
| Rendering efficiency and reactivity control | Solid / SolidStart |
| Bleeding-edge performance for low-end devices | Qwik |
| Content-heavy sites (blogs, marketing, docs) | Astro |
| Minimal JavaScript for light interactivity | HTMX / Alpine |
Often, the best approach is to prototype a small part of your app in two frameworks and compare development speed, runtime metrics, and maintainability.